一、常识判断
根据题目要求,从四个选项中选出一项最恰当的答案。
1、党的十八大以来,党中央团结带领全党全国各族人民,深刻回答了重大时代课题,形成了习总书记新时代中国特色社会主义思想。关于习总书记新时代中国特色社会主义思想,下列表述正确的是
①根本立场是以人民为中心,坚持人民主体地位
②核心要义是坚持和发展中国特色社会主义
③精髓是为人民谋幸福、为民族谋复兴、为世界作贡献
④理论特色是体现了理论与实际相结合、战略和战术相一致
A.①②③
B.①③④
C.②③④
D.①②③④
2、改革开放40多年来,中国人民在富起来、强起来的征程上迈出了决定性的步伐,一些经济指标已处于世界前列。下列指标中我国处于世界首位的是
A.货物贸易额
B.商品消费额
C.外资流入额
D.黄金储备量
3、2019年1月3日,嫦娥四号探测器在月球背面成功着陆,并与玉兔二号巡视器顺利分离,实现了多个国际首次。对此,下列说法不正确的是
A.首次进行了月基低频射电天文观测
B.首次在月球背面软着陆和巡视探测
C.首次实测了月球表面浅层月壤温度
D.首次实现地球和月球背面的中继通信
4、今年是中华人民共和国成立70周年。下列对中华人民共和国成立意义的表述,正确的是
①标志着新民主主义社会的结束
②基本完成了民族独立和人民解放的任务
③为实现中华民族的伟大复兴开辟了新纪元
④为中国的进步和发展创造了最重要的前提
A.①②③
B.①③④
C.②③④
D.①②③④
5、1919年爆发的五四运动,是中国近代史上一个划时代的事件。下列关于五四运动的表述,正确的是
A.直接导火线是第一次世界大战的爆发
B.具备了旧民主主义革命的一些基本特点
C.青年学生在五四运动中发挥了决定性的作用
D.为中国共产党成立作了思想和干部上的准备
6、2018年12月召开的中央经济工作会议指出,当前我国经济运行稳中有变、变中有忧,宏观政策要强化逆周期调节。下列属于逆周期调节措施的是
A.财政部决定2019年适度降低地方政府专项债券规模
B.生态环境部拟在2019年完成2.5万个建制村的环境综合整治任务
C.发改委2019年要推动1亿非户籍人口在城市落户工作取得明显进展
D.中国人民银行宣布2019年1月下调金融机构存款准备金率1个百分点
7、下列不属于《中华人民共和国监察法》所规定的监督对象的是
A.某居民委员会的主任
B.某国有企业工会的主席
C.某农民专业合作社的理事长
D.某省属高校学报的主编
8、下列情形中,公民基本权利未受侵犯的是
A.小学生王某学习成绩很差,其父直接让他辍学去工厂上班
B.某保安公司招聘夜班保安,在招聘启事中注明“男性优先”
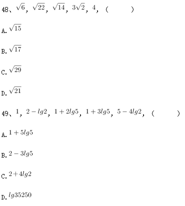
C.某公司的封闭车间夏季未装空调,小芳在车间工作时汗如雨下发生晕厥
D.张先生和李女士结婚时约定,李女士有义务为张先生生育两个孩子
9、张某在某电子商务平台定做了一张沙发,购买了一盏台灯、一台热水器和一台燃气灶。下列情形中,不符合法律规定的是
A.张某自收到沙发之日起七日内有权退货,且无需说明理由
B.张某购买的台灯被快递公司丢失,有权要求卖方重新发货
C.张某因热水器缺陷而受伤,有权向生产者或销售者请求赔偿
D.张某购买的燃气灶为冒牌货,有权要求平台提供卖方的信息
10、楚汉相争在我国历史文化中留下了深深的印迹。下列表述不正确的是
A.象棋中的“楚河汉界”源自于这段历史
B.成语“破釜沉舟”源于楚汉相争中的一场战役
C.琵琶曲《十面埋伏》反映了楚汉垓下决战情形
D.诗句“生当作人杰,死亦为鬼雄”以此为题材
11、对下列诗句所描写活动的解释,正确的是
A.“清风如可托,终共白云飞”描写的是射箭
B.“平明寻白羽,没在石棱中”描写的是捉迷藏
C.“嘈嘈切切错杂弹,大珠小珠落玉盘”描写的是弹琵琶
D.“三五步行遍天下,六七人百万雄兵“描写的是下象棋
12、对下列词语的解释,不正确的是
A.风树之悲——因父母去世而悲伤
B.金兰之交——亲如兄弟的友情
C.期颐之年——八、九十岁的年龄
D.弄璋之喜——生了男孩的喜庆
13、下列成语与经济学用语对应不恰当的是
A.凿壁偷光——外部性
B.郑人买履——机会成本
C.扬长避短——比较优势
D.狡兔三窟——投资组合
14、下列关于水资源的说法,不正确的是
A.地球上水资源的主体是咸水
B.海洋水与陆地水在不断循环
C.地球上水体大多以液态存在
D.地球上淡水主体是江河湖水
15、下列对有关气候效应的解释,正确的是
A.阳伞效应是指由于天空中大块乌云的阻挡而削弱太阳短波辐射,使气温降低
B.热岛效应是指由于城市下垫面特性和人类活动影响,使市区的气温比郊区高
C.温室效应是指温室气体透过太阳长波辐射,大量吸收地面短波辐射,使气温升高
D.海洋沙漠化效应是指海洋因受周围陆地沙漠化的影响,失去了对气温的调节功能
二、言语理解
本部分包含片段阅读、文章阅读、选词填空三个部分。
16、财政作为国家治理的基础和重要支柱,对促进科技创新具有重要的支撑、引领、提升与保障作用。具体来看,财政政策可以通过有的放矢的精准化财政投入,为科技创新输入供给端推力;通过有扶有控的差异化税收优惠通道,为科技创新构筑引导性激励;通过导向明确的选择性政府采购渠道,为科技创新设定需求端拉力。
这段文字重点说明的是
A.财政政策促进科技创新的主要途径
B.财政政策在科技创新中的提升作用
C.财政政策对科技创新所产生的影响
D.财政政策制定要考虑科技创新需要
17、在整个地图学史上,有效使用地图意味着看懂绘制在平面上的一系列抽象符号,然后将这些符号与当地环境的各种三维特征联系起来,从而成功地确定自己的位置。但这并不是所有普通人都能够做到的,而且不久之前,地图本身也还是一种稀缺的人工制品,有些地图还属于军事上敏感的机密。但是,能够在手机屏幕上看到的地图改变了这一切。
这段文字重在说明
A.地图学发展经历了漫长的历史过程
B.地图绘制使用中存在诸多技术难题
C.智能手机的出现促进了地图学发展
D.智能手机大大提升了人类生活质量
18、在日益现代化的时代,数字化全智能工业和目前的大工业是社会发展最仰赖的生产力,手工艺作为人类古老的生产、生活方式也能发挥它的经济辅助作用,但它的文化功能意义将日益凸显。类似于精神乌托邦的不可或缺,手工艺的存在将给现代人提供复归淳朴人性、回望人类童年的机会,传统工艺的振兴也将开启现代生活与文化创造的新境。
这段文字意在强调
A.手工艺能够对经济发展起到辅助作用
B.现代社会手工艺生产方式是不可或缺的
C.文化创造与传统手工艺有着密切的关系
D.手工艺的存在更在于其文化功能意义
19、①可以说,手术同意书的签署过程,是一次医疗实践过程中极其重要的医患沟通环节。
②主要的意义在于,要使医生养成对患者高度负责、保护患者健康和生命的工作作风,在临床实践中尽力避免医疗伤害。
③在医学伦理中,知情同意权的本质,体现在尊重原则与不伤害原则。
④患者在充分知悉相关信息之后,有权就自己的疾病如何处置作出理性的决定。
⑤在尊重原则中,除了对患者生命价值的尊重外,更主要的其实是尊重患者的医疗自主权。
⑥而不伤害原则的意思,并不是要求医生在所有的医疗行为中避免一切医源性的伤害,这样的要求在当下不太现实。
将以上6个句子重新排列,语序正确的是
A.①-③-⑥-②-⑤-④
B.③-④-⑥-②-①-⑤
C.①-②-③-⑤-④-⑥
D.③-⑤-④-⑥-②-①
20、生态文明首先是一种世界观,也就是如何看待人与自然和人与人之间的关系。实际上,人与自然的关系和人与人之间的关系是同一事物的相互映衬,同时,人与自然的关系也在一定程度上决定了人与人之间的关系。当人与自然关系紧张,如一定的自然资源和生态环境承载不了已有的人口数量时,就会产生人与人之间关系的对抗。
下列说法与文意不符的是
A.人与自然的和谐相处事实上有利于协调人与人之间的关系
B.处理好人与人的关系比处理好人与自然之间的关系更为重要
C.正确的世界观可以引导我们处理好人与人及人与自然的关系
D.人与人的关系发生对抗可能和人与自然关系的紧张相关
21、实施节能目标责任制和考核评价制度,实际上建立了一种科层制的节约能源监管模式,意味着节能工作地方政府负总责制度的确立。其特色是将节能工作与地方政府的人事考核评价制度挂钩,目的是以政府为主导,为推进地方开展节能工作,提供强大的政治动力。而节能减排市场化则是充分赋予节能企业(或者其他单位)自主性,以发挥市场在资源配置中的决定性作用。
这段文字接下来最有可能讨论的是
A.如何有效实施节能减排市场化
B.为什么要实施节能减排市场化
C.如何有效推进节能目标责任制
D.人事考评如何与节能减排挂钩
22、当前,乡村间或是城乡间的交流日益增加,因拆迁、移居等因素在新区域形成新的社区群体,乡村正面临“去熟人化”阶段。用一种共通的地域文化将其联系起来,是乡村治理的有效形式。从历史上看,以血缘或是某种被认可的文化组织起来的群体,具有很强的生命力和稳定性。在一定层面上,乡村社会关系,乡村冲突的调适与乡村社会秩序的维系不仅仅靠法制体系,而且还依靠乡村礼俗、村社伦理、村规乡约等非正式制度。
这段文字主要强调
A.乡村社会秩序的历史渊源与当下处境
B.当下乡村社会秩序发生变化的主要原因
C.新的乡村社会秩序维护需要探寻更有效的治理方法
D.乡村治理实践中非正式制度往往比法律手段更有效
23、读了大量的唐代诗人传记之后,发现中唐以前的诗人大多狂傲之士,自炫、自夸、自矜、自傲是一种稀松平常的事。杜甫应该是一个温厚谨重的人,但自夸起来一点也不含糊:“甫昔少年日,早充观国宾。读书破万卷,下笔如有神。赋料扬雄敌,诗看子建亲。”李白的“我本楚狂人,凤歌笑孔丘”“仰天大笑出门去,我辈岂是蓬蒿人”“安能摧眉折腰事权贵,使我不得开心颜”,大家耳熟能详。“天子呼来不上船,自称臣是酒中仙”,虽然出自杜甫笔下,却于李白的个性可谓合榫合卯,堪称知音。
根据文意,作者对李杜诗中表现出的狂傲之气
A.并不意外
B.十分欣赏
C.略有微词
D.有褒有贬
24、根据新的刑事证据规则,鉴定检材的真实性和同一性已经成为鉴定意见转化为定案根据的前提条件。这显然是我国刑事证据制度发生的重大变化。透过这一变化,我们可以发现司法改革的决策者们已经具有了一种新的理论认识:实物证据鉴真是司法鉴定程序启动的前提和基础:未经鉴真过程,任何专业人士对实物证据所作的“司法鉴定意见”都将是没有法律意义的;实物证据作为一种“送检材料”,在其真实性和同一性存在合理疑问的情况下,鉴定意见将不具有作为定案根据的资格。
这段文字中提取的关键词最恰当的是
A.刑事证据 实物证据鉴真 定案根据
B.司法改革 司法鉴定意见 定案根据
C.鉴定检材 刑事证据制度 司法改革
D.证据制度 司法鉴定程序 送检材料
25、在照相技术诞生以前,那些已经损坏消失或因种种原因无法收藏的文物,就是依靠墨拓进入研究者的视域的。而且许多文物需要妥善收藏与精心保护,不能反复触碰,通过墨拓,研究者既可以取得研究所需的材料,又能避免多次接触文物,使文物遭受污染或损坏。现代照相技术十分发达,但是细节上的呈现仍然不如墨拓直观清晰。墨拓可以将石刻、古器物上的文字和图案清晰地显现在纸上,供研究者利用。
这段文字主要说明的是
A.墨拓在文物保存文献研究方面比照相技术更为优越
B.研究者利用墨拓研究石刻与古器物已具有悠久历史
C.墨拓对于研究历史文献与保存文物具有重要的价值
D.墨拓对于照相技术在文献研究保护方面具有不同价值
26、从顶层设计上看,我国工匠精神培育建设需立足于搭建协同保障平台、开展不同主体间的多元对话、建构产教研协同发展机制以及强化职业院校精神培育功能。从协同发展的视角看,我国工匠精神的培养主体亟须根据自身的角色定位与职能属性,强化市场管理制度,培育高品质消费市场,不断完善技术技能人员薪酬体系,构建职业院校、实训中心、企业三站式互动机制。
这段文字意在说明
A.我国工匠精神培育的主要策略
B.我国工匠精神培育的顶层设计
C.必须强化工匠精神培育工作的管理
D.搭建协同平台是工匠精神培育重心
27、在传统文化的早期阶段,文化呈现出一种综合的形态,这种形态成为孕育中国传统医学和古典文学的共同摇篮。在这两个学科尚未独立分离出来的时候,中国传统医学与古典文学之间存在着明显的杂糅现象。无论是诗歌、民歌、民谣,还是市井小调,都是古代医学重要的传播载体。另一方面,很多医学古籍本身就是有着丰富文学价值的作品。在阅读这些古典医学著作时,往往能够体验到文学中的那份必然和深邃。
下列说法与文意不符的是
A.医学和文学在传统文化早期阶段并非泾渭分明
B.阅读经典医学古籍可能获得审美体验
C.中国传统医学与古典文学植根于共同的文化土壤
D.研读古典文学作品是研究传统医学的基础
28、国家审计独立性得到充分保障决定了审计法治的实现程度,决定了审计质量水平和审计结果的公正程度,也决定了审计能否在国家治理活动中发挥其“免疫系统”的功能,进而决定审计反腐的使命能否顺利完成。
下列说法与画线部分表述的意义最为相似的是
A.国家审计独立性得到充分保障与否决定了审计法治的实现可能性
B.国家充分保障审计独立性与否决定了审计法治的实现程度
C.国家审计独立性能否得到充分保障决定了审计法治的实现程度
D.国家能否充分保障审计独立性决定了审计法治的实现可能性
29、在一项研究中,研究者发现由于关于慢阻肺(慢性阻塞性肺炎)的刻板印象根深蒂固,有可能导致罹患这种疾病的女性患者不能被及时确诊。研究者请192位医生诊断一批中年患者,他们是长期咳嗽以及有吸烟史的男性或女性。在初次检查中,只有49%的女性患者被诊断为慢阻肺,而男性患者则达到了64.6%的诊断率。随后,研究者提供了指向慢阻肺的医学检验报告,这时诊断率的性别差距缩小了,但仍然没有完全消失。
文段中“刻板印象”指的是:
A.女性患慢阻肺疾病的可能性较小
B.女性患慢阻肺不容易被诊断
C.男性由于吸烟史导致患慢阻肺
D.男性慢阻肺很容易被诊断
30、沉浸在自然环境的多样性生物中,有助于维持肌肤不可或缺的健康微生物群系和肠道菌群。研究显示,如果儿童在很小的时候没有用足够的时间去亲近大自然,那么随着年龄的增长他们就不会形成适当的免疫功能来保护自我。沐浴在大自然中,可以摄取那些能产生大量健康微生物群系的东西。由于一些城市缺少公园,树木稀少,这种大自然赋予的免疫力不足, 。
填入画横线处最恰当的是
A.微生物群系和肠道菌群减少了
B.孩子们的免疫功能退化了
C.大自然中的生物多样性降低了
D.成年人的健康水平下降了
31、古典诗歌热潮兴起不是 的,其中体现了先贤诗人几千年的智慧与情感。结合新的时代条件传承和 中华优秀传统文化,也必将有效提升我们的文化自信,为中华民族伟大复兴创造条件。
依次填入画横线处最恰当的一项是
A.理所当然 发扬
B.必然 宣传
C.自然而然 倡导
D.偶然 弘扬
32、青藏高原的特殊生物环境和生物资源,为我国科学家开展原创性的工作提供了 的条件。我们需要建设一支年富力强、野外经验丰富、多民族 的科研团队,寻找高端人才培养的学术援藏新模式,让西藏的生态学研究真正实现可持续发展。
依次填入画横线处最恰当的一项是
A.无可比拟 结合
B.独一无二 组合
C.绝无仅有 整合
D.得天独厚 融合
33、中国传统文化中的“和而不同”与共享观念, 地成为“人类命运共同体”以及“民心相通”的价值观的注脚。中国向世界提出了“人类共同命运”的全球倡议,包含了对全球“普遍联结”与“价值关联”等发展特征的 概括,是中国特色全球传播的生动表述。
依次填入画横线处最恰当的一项是
A.恰逢其时 高度
B.无可替代 简洁
C.恰如其分 凝练
D.正当其时 有力
34、地方戏曲是中华文化的重要组成部分,在新时代受到诸多新兴事物的冲击而略显暗淡,甚至濒临消亡。作为新时期的文化工作者,我们 着传承和保护中华传统文化的使命,如何在整个社会大环境中,营造出戏曲文化氛围,不断传承和发展地方戏曲,使其兼具传统韵味和时代气息,赢得更多人的喜爱,是我们需要始终 探索的课题。
依次填入画横线处最恰当的一项是
A.背负 矢志不渝
B.承担 孜孜以求
C.担负 持之以恒
D.肩负 坚持不懈
35、近年来,自动驾驶成为汽车产业的制高点,各国纷纷加快立法,推动路面测试,加速产业 。国内有关部门和地方应 ,加强对自动驾驶车辆上路测试的全方位监管,让自动驾驶产业 起步的过程更加平稳、安全。
依次填入面横线处最恰当的一项是
A.孵化 未雨绸缪 摸索
B.催化 有的放矢 创新
C.发展 出谋划策 创业
D.成长 奋起直追 探索
36、支付工具的多样化组合,提升了我国支付体系运行的质量和效率,满足了公众 支付需求。从未来支付趋势看,现金支付和非现金支付工具相互 、相互补充、共存共生的局面将长期存在。但是对我国这样一个地域广、人口多、发展很不均衡的大国来说,由于核心技术水平的限制,过度依赖非现金支付会大大增加支付体系的脆弱性。因此,必须长期 现金作为国家法定支付方式的地位,切实保障广大人民使用现金的合法权益。
依次填入画横线处最恰当的一项是
A.区别化 支持 确保
B.差异化 支撑 确立
C.个性化 支援 确认
D.多元化 支应 确证
37、去年冬天,我终于再次回到家乡。踏上这片 的土地,不觉中满眼尽是熟悉的情景。猛地回到现实中,我早已泪眼 。街市的路面依然那样光亮,如同镜面一样,反衬着天空和街道两侧时常变换的店舍,时间似乎并没有在此停留,而是平静地 着正在发生的一切。
依次填入画横线处最恰当的一项是
A.魂牵梦绕 婆娑 诉说
B.知根知底 朦胧 讲述
C.牵肠挂肚 模糊 呈现
D.日思夜想 迷离 反映
38、尽管自学术角度观之,在整体设计和具体材料运用等方面,此书并未有太多超越之处,但仍有不少值得中国研究者 的地方。它为我们提供了更多 微观描述与宏观叙述的可能性。就笔者 ,目前做茶的相关研究的人类学学者并不多。
依次填入画横线处最恰当的一项是
A.审视 连接 学养所囿
B.重视 穿透 视野之内
C.借鉴 贯穿 目力所及
D.追寻 结合 耳闻目睹
39、应当看到,农业调结构是一个动态的过程,不可能调到位、 。农业也是慢热型产业,培育一个成熟品牌,要三五年、十多年,甚至更长时间,靠政府部门 不行,必须尊重农业发展规律和市场规律,扎扎实实、 、一步一步走。
依次填入画横线处最恰当的一项是
A.一挥而就 大刀阔斧 锲而不舍
B.一劳永逸 揠苗助长 持之以恒
C.一蹴而就 快马加鞭 孜孜矻矻
D.一步登天 越俎代庖 水滴石穿
40、在纸本时代,学术传播主要是通过书、报、刊出版发行完成的,三者各有分工,各有渠道,各有 。图书以编辑出版学术著作为主,期刊以编辑发表学术论文为主,报纸以携写发布学术信息为主, ,按照相应体制的规章制度或业界的 规则独立地运行,从而形成了编辑校对、装帧设计、出版发行、质量检查等一系列学术传播的基本联序。
依次填入画横线处最恰当的一项是
A.读者 各行其是 潜移默化
B.受众 各司其职 约定俗成
C.对象 各自为阵 不言而喻
D.用户 各有干秋 不约而同
知识产权广义上是关于无形智力成果的专有权利,是通过排除他人的主张和干预而独占智力成果的开发和使用,进而获得独占权益的制度。基于知识产权的? ??属性,财产理论成为知识产权制度的核心理论。具体到知识产权与公共领域的二元关系中,则是一方面强调权利人作为财产权主体控制其权属范围内的一切资源而排除资源自由流动的可能性;另一方面将公共领域作为知识产权潜在的“对手”,主张公共领域的边界和层次的发展压缩了知识产权的权属范围,限制了知识产权作为一项财产权利的功能实现。
为了避免公共资源的过度使用而造成资源损耗,通过财产制度赋予主体对特定资源的所有权,可以确保资源的使用受到合理规范和控制。同时,财产所有权的确立在减少资源损耗的基础上增加财产使用带来的收益,引导财产主体进一步投入、开发和使用资源本身,形成资源不断增值和收益的良性循环。
智力成果作为知识产权的客体具有无形属性,在创造、传播和使用过程中不会产生“公有物的悲剧”中资源过度使用的困境。然而智力成果缺少法律制度的规范而允许不受限制的自由使用,造成的不利后果则是权利主体无法就智力成果的价值进行有效的收益,最终导致智力创造活动激励不足而无以为继。巧合的是,财产化智力资源能提供充裕的行为激励而解决这个问题。在经济学理论的背景下,知识产权依托财产理论实现重要的制度功能——鼓励智力创造活动,这又与知识产权制度的根本目的相契合。
问题在于,财产理论并不能完全解释资源的开发和使用。资源的财产化发展到一定程度反而会阻碍后续开发和使用行为。知识产权领域也有类似的矛盾。在传统的生物制药领域,基于专利申请而不断增加的专利数量不仅没有进一步促进研发创新,反而由于权属复杂分散难以整合而导致后续研发的成本过高,最终阻碍生物制药行业的发展。类似的,版权领域内的演绎行为的权利传统上归属于作品原作者。然而,滑稽戏仿等创作行为本身是对原作品进行丰富和发展的合理手段,通过转化性的创作来体现不同于原作者的目的和意图,能有效丰富社会整体文化技术作品的数量和质量。实践中各国在版权立法方面将滑稽戏仿规定为版权的例外并允许类似行为的实施。显然,坚持绝对的演绎权利必然压缩演绎作者创作的空间,抑制基于原作品的演绎行为。因此,知识产权制度在理论构建过程中不能依赖财产化思路将智力资源完全专有化,而应该在财产化的过程中兼顾其他策略来实现知识产权的制度目的。
41、填入文中画横线处最恰当的一项是
A.专有和排他
B.专属和高端
C.独有和专业
D.独创和稀缺
42、对文章第一段中“公共领域作为知识产权潜在的‘对手’”理解不正确的是
A.知识产权理论上就是一种私人财产权
B.公共领域的活动可能会影响知识产权实现
C.知识产权作为私人财产不可用于公共领域
D.权利人不希望被公共领域侵犯其权益
43、作者认为,知识产权不受限制自由使用最终将会导致
A.智力成果的权利人无法得到相应的收益
B.智力创造活动由于激励不足而无以为继
C.无法形成知识产权资源收益的不断增值
D.知识产权的使用缺乏合理的规范和控制
44、对文章最后一段中“知识产权领域也有类似的矛盾”解释不恰当的是
A.专利数量不断增加有时并未促进研发创新
B.知识产权的财产化导致后续研发成本过高
C.版权领域内的演绎权利只能归属于原作者
D.后人从事转化性创作有时也缺乏必要空间
45、这篇文章着重说明的是
A.知识产权过度保护也将造成危害
B.知识产权实质上是财产权问题
C.知识产权与公共领域的相互关系
D.知识产权保护需注意其两面性
三、数量关系
本部分包含数字推理和数学运算两部分。
46、8,2,1,1,2,()
A.4
B.8
C.10
D.16
47、2.03,113.06,224.12,335.24,446.48,( )
A.556.96
B.557.72
C.557.96
D.558.72


51、某银行为一家小微企业提供了年利率分别为6%、7%的甲、乙两种贷款,期限均为一年。若两种贷款的合计数额为400万元,企业需付利息总额为25万元,则乙种贷款的数额是
A.100万元
B.120万元
C.130万元
D.150万元
52、现有浓度为12%和24%的盐水各若干克,将其混合后加入50克水,配制成了浓度为18%的盐水600克,则原12%和24%的盐水质量之比是
A.6:5
B.1:1
C.5:6
D.4:7
53、一群学生分小组在户外活动,如3人一组还多2人,5人一组还多3人,7人一组还多4人,则该群学生的最少人数是
A.23
B.53
C.88
D.158
54、已知一个箱子中装有12件产品,其中有2件次品。若从箱子中随机抽取2件产品进行检验,则恰好抽到1件次品的概率是

55、某工厂生产甲和乙两种产品,已知生产1件甲产品可获利1000元,消耗A.和B.材料分别为2千克、3千克;生产1件乙产品可获利1700元,消耗A.和B.材料分别为5千克、4千克。若有A.和B.材料分别为200千克、240千克,则生产甲、乙两种产品能取得的最大利润是
A.85200元
B.86278元
C.85900元
D.86600元
56、某机关事务处集中采购了一批打印纸,分发给各职能部门。如果按每个部门9包分发,则多6包;如果按每个部门11包分发,则有1个部门只能分到1包。这批打印纸的数量是
A.87包
B.78包
C.69包
D.67包
57、市电视台向150位观众调查前一天晚上甲、乙两个频道的收视情况,其中108人看过甲频道,36人看过乙频道,23人既看过甲频道又看过乙频道,则受调查观众中在前一天晚上两个频道均未看过的人数是
A.17
B.22
C.29
D.38
58、一只密码箱的密码是一个三位数,满足:3个数字之和为19,十位上的数比个位上的数大2。若将百位上的数与个位上的数对调,得到一个新密码,且新密码数比原密码数大99,则原密码数是
A.397
B.586
C.675
D.964
59、一油罐车为三家加油站送油,在第一家加油站卸下车中20%的油料后整个车重为21吨,在第二家加油站卸下余下油料的30%后车重18吨,在第三家加油站卸下了剩下的油料。该油罐车本身的重量与所送全部油料重量相比
A.一样重
B.重1吨
C.轻1.5吨
D.重1.5吨
60、某班举行数学测验,试题全部是选择题,共10题,每题1分,得分的部分统计结果如下:

已知,得分至少为3分的,人均2x分;得分最多为7分的,人均x分。这个班级总人数是

61、一场大雪过后,某单位需安排员工清理包干区的道路积雪。清理时必须3人一组,其中2人铲雪,1人扫雪。如果安排10人铲雪,3.5小时才能完成。假设每组工作效率相同,若要在100分钟内完成,则需安排的员工人数最少是
A.21
B.24
C.30
D.33
62、小李和老张同时在同一点沿同一环形跑道健身锻炼,小李跑步,老张慢走。若同向而行,小李追上老张所需时间是两人相向而行相遇所需时间的倍。假设两人运动均为匀速,且小李跑步是老张慢走速度的倍,则下列能反映与关系的是

63、平行四边形ABCD如右图所示,E为AB上的一点,FG分别为AC与DE、DB的交点。若
,则四边形BEFG与ABCD的面积之比是

A.2∶7
B.3∶13
C.4∶19
D.5∶24
64、将一根绳子任意分成三段,则此三段能构成一个三角形的概率是

65、某工程队承担一项工程,由于天气原因,工期将延后10天。为了按期完工,需增加施工人员。若增加4人,工期会延后4天;若增加10人,工期将提前2天。假设每人工作效率相同,为确保按期完工,则工程队最少应增加的施工人员数是
A.6
B.7
C.8
D.9
四、判断推理
本部分包含类比推理、图形推理、逻辑判断和定义判断四个部分。
66、贫困:脱贫:共同富裕
A.协商:参与:社会治理
B.输液:治疗:身体康复
C.干旱:施肥:粮食丰收
D.污染:治污:绿水青山
67、男博士:女教授:教授
A.政治家:文学家:作家
B.无理数:正整数:正数
C.电动车:电冰箱:电器
D.公路桥:铁路桥:桥梁
68、眼睛:眼镜:隐形眼镜
A.脚踝:护膝:运动护膝
B.耳机:耳朵:蓝牙耳机
C.手掌:手套:纯棉手套
D.假牙:牙套:烤瓷牙套
69、牛奶:奶牛:牛圈
A.鸡肉:肉鸡:鸡场
B.虫害:害虫:农田
C.蛇毒:毒蛇:蛇穴
D.蜜蜂:蜂蜜:蜂巢
70、记录:记录本
A.咨询:咨询室
B.复印:复印件
C.驾驶:驾驶证
D.存储:存储盘
71、头:包工头
A.眉:柳叶眉
B.肚:将军肚
C.腰:小蛮腰
D.手:操盘手
72、茶壶 之于 (? ? ) 相当于 (? ? ) 之于 桃花
A.茶艺——桃红
B.茶叶——桃仁
C.壶嘴——桃树
D.茶馆——桃园
73、燃气?之于(? )相当于()之于语言
A.管道——信息
B.火源——表演
C.灶具——文字
D.沼气——交际
74、日曰曰日戊戍戍戊白
A.己巳巳己愕谔愕谔鄂
B.甲由由甲申喂喂伸神
C.嚄噢噢嚄哑咔咔哑娅
D.嗒呾怛嗒嚓察察嚓檫

76、


78、

79、

80、

81、

82、

83、

84、左边给定的是纸盒外表面的展开图,右边哪一项能由它折叠而成?请把它找出来。

85、左边给定的是纸盒外表面的展开图,右边哪一项能由它折叠而成?请把它找出来。

86、左边给定的是纸盒外表面的展开图,右边哪一项能由它折叠而成?请把它找出来。

87、左边给定的是纸盒外表面的展开图,右边哪一项能由它折叠而成?请把它找出来。

88、从所给的四个选项中,选择最合适的一个填入问号处,使之呈现一定的规律性。

89、左边给定的是纸盒外表面的展开图,右边哪一项能由它折叠而成?请把它找出来。

90、左图为给定的立体,从任意角度剖开,右边哪一项不可能是它的截面图?

91、信仰、信念、信心,任何时候都至关重要。小到一个人、一个集体,大到一个政党、一个民族、一个国家。只要有信仰、信念、信心,就会愈挫愈奋、愈战愈勇,否则就会不战自败、不打自垮。
根据以上陈述,可以得出以下哪项?
A.没有信仰、信念、信心,我们就会不战自败、不打自垮
B.没有信仰、信念、信心,我们就不会愈挫愈奋,愈战愈勇
C.如果不战自败、不打自垮,就说明我们没有信仰、信念、信心
D.如果愈挫愈奋、愈战愈勇,我们就不会不战自败、不打自垮
92、智能手机流行的时代,我们每天发送信息,也收到信息。人际之间的电子信息交往已成为当今时代一种独特的交往方式。在面对重要的人或关系时,很多人往往发出信息后就期待被秒回,如果没有被秒回,他们就产生一种怀疑感或被弃感,从而陷入深深的烦恼和焦虑之中。
以下哪项最可能是他们陷入深深烦恼和焦虑所需的假设?
A.当前技术已能实现智能手机的即时通信,方便快捷,且基本免费
B.有些聊天软件能在发送者手机中反馈信息接收者是否阅读了信息
C.有些人工作很忙,总习惯在忙完一天工作后才统一处理相关信息
D.有些人一天收到的信息太多,容易遗漏某人期待秒回的重要信息
93、某地开展企业结对扶贫创新活动,倡导企业家与贫困家庭互选,要求每户贫困家庭只能选1位企业家,而每位企业家只能在选他的贫困家庭中选择1-2户开展帮扶活动。现有企业家甲、乙、丙3人面对张、王、李、赵4户贫困家庭,已知:
(1)张、王2户至少有1户选择甲;
(2)王、李、赵3户中至少有2户选择乙;
(3)张、李2户中至少有1户选择丙。
事后得知,互选顺利完成,每户贫困家庭均按自己心愿选到了企业家,而每位企业家也按要求选到了贫困家庭。
根据以上信息,可以得出以下哪项?
A.企业家甲选到了张户
B.企业家乙选到了赵户
C.企业家丙选到了李户
D.企业家甲选到了王户
94、当今社会,不少老人为了帮助子女照顾下一代而漂泊异乡成为“老漂族”。在最近一项城市调查中,的受访青年坦言,自己的父母就是老漂族,自己与爱人事业刚刚起步,工作压力较大,根本没有时间照顾孩子和做家务。有专家据此断言,我国城市中的老漂族群体还会进一步扩大。
以下哪项如果为真,最能支持上述专家的观点?
A.老人在城市养老可拥有比乡村更好的医疗条件
B.有些老人故土难离事务缠身更愿意生活在家乡
C.国家二孩政策的实施将会促使更多的孩子出生
D.二孩政策实施后城市的二孩出生率要低于农村
95、某区对所辖钟山、长江、梅园、星海4个街道进行抽样调查,并按照人均收入为其排序。有人根据以往经验对4个街道的人均收入排序作出如下预测:
(1)如果钟山街道排第三,那么梅园街道排第一;
(2)如果长江街道既不排第一也不排第二,那么钟山街道排第三;
(3)钟山街道排序与梅园街道相邻,但与长江街道不相邻。
事后得知,上述预测符合调查结果。
根据以上信息,可以得出以下哪项?
A.钟山街道不排第一就排第四
B.长江街道不排第二就排第三
C.梅园街道不排第二就排第四
D.星海街道不排第一就排第三
96、人饿了会吃东西,一旦摄入碳水化合物、脂肪、蛋白质等能量营养素,就能消除饥饿感,这种缺乏能量营养素的饥饿是显性饥饿;然而,人体健康还需铁、锌等16种矿物元素及维生素A.、维生素E等13种维生素,如果缺乏这些微量营养素,则会造成隐性饥饿。显然,显性饥饿只要“吃饱”就能解决,而隐性饥饿只有“吃好”才能应对。
根据以上陈述,可以得出以下哪项?
A.既要“吃饱”又要“吃好”,如此就能保证人体的健康
B.消除显性饥饿对人更重要,只有“吃饱”才能“吃好”
C.隐性饥饿并不同于显性饥饿,“吃不好”不等于“吃不饱”
D.隐性饥饿对人体健康的危害比显性饥饿更大、更隐蔽
97、某县新一届党政领导班子刚组建完成,一心想为群众做一些实事。面对有限的财力,新一届领导班子明确表示,今年只能完成两件大事。对于众多排进公共政策议程的大事,他们认为:如果建一条乡村公路,则不能建污水处理厂;如果建污水处理厂,则要建排污管道;如果建排污管道,则不能建垃圾处理厂。
按照这届领导班子的想法,以下哪项不可能是他们今年同时要建设的?
A.乡村公路、排污管道
B.乡村公路、垃圾处理厂
C.污水处理厂、排污管道
D.污水处理厂、垃圾处理厂
98、科幻小说《三体》中提出的“黑暗森林理论”告诉我们,人类千万不能向宇宙透露我们地球的位置,否则就会被外星文明毁灭。但是,早在《三体》出版之前的1974年,人类就向距离地球超过2.2万光年的武仙座星团发送了一段无线电信号,以光速主动向宇宙宣告了自身的存在。这个编号为M13的武仙座星团拥有数十万颗恒星。科学家认为,恒星周围一般会伴有行星,但恒星上不可能存在生命体,行星上却可能有。深信黑暗森林理论的人不禁为人类这一鲁莽举动感到担心,认为人类的美好期望有可能会迎来残酷的现实。
以下哪项如果为真,最能说明这种担心是不必要的?
A.迄今为止人类并没有发现任何外星生命存在的迹象
B.类地行星也并不罕见,平均每5颗恒星就拥有1颗
C.恒星密集分布的武仙座星团内不存在任何行星系统
D.即使武仙座星团文明收到信号也要在2.2万年以后
某市江海区决定对东风路、西河路、南塘路、北海路等4条辖区内道路进行市容出新。为了解群众意见,制定符合民意的出新方案,区政府相关部门的甲、乙、丙、丁4位同志两人一组结伴展开调研。已知,每人各选两条道路,每条道路恰有两人选择:在每条道路的调研中,乙与丙始终没有在一组。另外,还知道:
(1)如果甲选东风路,则丁也选东风路;
(2)如果丙选南塘路,则丁也选南塘路;
(3)甲没有选南塘路。
99、根据上述信息,可以得出以下哪项?
A.甲选西河路和北海路
B.乙选西河路和南塘路
C.丙选东风路和西河路
D.丁选东风路和北海路
100、如果乙不选东风路,则可以得出以下哪项?
A.甲或者选东风路或者选南塘路
B.乙或者选西河路或者选南塘路
C.丙或者选南塘路或者选北海路
D.丁或者选西河路或者选北海路
101、公众充权:指在公共政策的制定、执行、评估、监督过程中,公众积极参与,充分表达自己的利益主张,以推动公共政策过程的民主化与科学化。
下列属于公众充权的是
A.清明节到来前夕,一些社会人士在市文明办支持下创建了文明祭扫网站,号召民众祭扫时不放鞭炮,不烧纸钱,改用虚拟鲜花、电子蜡烛等绿色环保的方式
B.快递小哥小李当选市人大代表后,在广泛走访充分调研的基础上,提交了一份关于如何保障快递员权益、促进快递行业健康发展的议案
C.某市将要召开天然气价格调整听证会,有关部门要求辖区各街道、居委会搞好宣传动员工作,按照下达名额推举市民代表,确保公开公平公正
D.在某县未来五年发展规划制定过程中,县委、县政府通过召开居民座谈会、专家听证会等形式,征求到了许多宝贵的意见
102、信息扶贫:指政府成社会群体借助信息技术手段来解决因信息闭塞而导致的经济、文化上的贫困问题。
下列属于信息扶贫的是
A.某物流公司联手互联网巨头在边远山区定向从贫困户中招聘一批快递员,经过专业培训之后上岗,帮他们走上了脱贫致富的道路
B.某手机生产厂家面向农村市场,推出了一款低成本、易操作、大屏幕、待机时间长的时尚智能手机,村民们纷纷换掉了原来的旧手机
C.省城某重点中学建立网络课堂,向某贫困县的中学进行远程同步直播,使两地师生共享优质教学资源。几年来,该县考上重点大学的人数明显增多
D.毕业返乡的小周带着几个同学开了家网店,在网上销售自家种植的红枣,销量逐步上升,日子越来越红火
103、“一门式”政务服务:指为了方便群众,将原本需要跑多个政府部门才能办成的事项集中到一个服务中心或简化到一个窗口办结的服务行为。
下列属于“一门式”政务服务的是
A.某市建立了一个社会综合治理云平台,将多种渠道发现的社会问题按照标准化流程推送到相应的职能部门,明确责任人并限时解决,避免了部门之间推诿扯皮的情况
B.某市新近成立了一个残疾人服务站,以前残疾人申请生活补贴需要携带申请表到各级残联审批盖章,现在只需到服务站提出申请,各级审批部门就会即时看到并办妥
C.市医院为了解决患者就医难的问题,在一楼大厅开设了便民门诊,挑选了一批医术精湛的医生坐诊,患者可以一站式完成挂号、收诊、缴费、取药的全部流程
D.某市非本地户籍的适龄儿童入学过去需要的监护人现场提交户口、住房、工作证明等材料,现在只要通过教育部门专设的网报名登记系统,就可一键提交全部材料
104、社会性处罚:指存在失信行为的人员所受到的与自身失信行为没有直接关联的来自其他部门的限制和处罚。
下列属于社会性处罚的是
A.以“站不起来”为理由强占他人座位的高铁“霸座男”,当场受到了乘警的严肃批评,下车后被移送公安机关接受治安处罚。这一事件曝光后,当事人的恶劣行为又遭到了全国网民的一致谴责
B.由于数据造假,某教授在国际期刊上发表的论文被撤稿。在网民的谴责声中,该教授又被撤销了基于该论文所获得的绩效奖励、省部级科研项目、荣瞥称号、社会兼职
C.春节前夕,恶意拖欠农民工工资的部分包工头,被有关部门和各种媒体曝光,引起社会各界密切关注。根据银行、保险、铁路等部门的规定,这些违规者申请信用卡、购买保险以及动车和高铁票时都将受到限制
D.长江沿岸的一家化工企业,多次不顾禁令向长江偷偷排污,最近被省有关部门通报批评,吊销了企业生产执照,它的上级主管部门及主要负责人也都受到了严厉的处罚
105、友善采购:指因自然灾害或其他无法抗拒的因素而造成产品大量积压时,购买方按照不低于甚至略高于批发价或市场价的方式购买这些产品,以帮助生产者渡过难关的行为。
下列属于友善采购的是
A.近期原材料价格上涨,各种电子器件供应紧张,某企业主动加价,从长期供货商那里购入了大批急需的电子器件,保证了企业生产的正常进行
B.因连日暴雨引发山洪,造成当地瓜农数十亩即将上市的西瓜被淹,对口帮扶城市得知消息后,以市场价收购了该地瓜农的全部西瓜
C.南方某地水果大获丰收,造成大量积压滞销,采购商得知东北销路很好,从忧心忡忡的果农那里大量购进,转销东北,获利颇丰
D.某少数民族的传统手工艺虽然已成功申遗,其产品却始终打不开销路,经过民俗专家在媒体上的大力推介,终于走出了大山,市场反响很好
106、情感性劳动:指服务业员工在与顾客面对面交往时,将个人情感融入工作过程,对顾客、企业以及服务人员自己产生积极影响的行为。
下列属于情感性劳动的是
A.某航空公司空姐站在登机口两旁欢迎乘客,时不时还会微笑着摸摸小孩的头
B.小刘总是面带微笑、语气亲切热情地接打电话,连续多年被评为最美接线员
C.某酒店智能客服“小青”善解人意,语音甜美,入住的客人都喜欢和她互动
D.小秦在信访局工作多年,每次接待来访者,都非常耐心,细致了解具体情况
107、隐形植入:指通过周边信息、符号体系等不易察觉的形式,使受众在不知不觉中受到影响的宣传策略。
下列属于隐形植入的是
A.在某电视剧中,所有角色均使用同一品牌的手机,井使用这个品牌的经典铃声
B.城运会到来之前,商家把印有城运会会徽的各类文化创意产品陆续摆上了柜台
C.在某市博物馆馆标设计征集中,8号方案以浓郁的地域文化元素受到了评委的关注
D.结婚纪念日快到了,为了提醒粗心又忙碌的丈夫,小李偷偷把他的手机屏保换成了婚纱照
108、逆城镇化:指由于工作、生活、环境等原因,城市居民主动从城区流向郊区或农村生活的现象。
下列属于逆城镇化的是
A.市民李先生在市中心工作生活多年,去年跳槽到郊区一家企业,并在单位附近买了一套房,感觉工作生活十分方便
B.随着业务量扩大,某物流企业的库房不能满足业务需要,在城里另租场地成本太高,公司在租金较低的农村租用了一处大型库房
C.近年来,因为城里交通拥堵,压力太大,不少城市白领纷纷到周边乡村度假,享受田园生活的乐趣
D.由于编制体制调整,林女士的丈夫从大城市换防到千里之外的戈壁滩,为了支持丈夫工作,林女士打算带着儿子到新的驻地附近安家
109、剧场效应:指由于个体成员追求自身利益最大化,引发其他成员效仿而导致集体秩序失衡,整体利益受损的现象。
下列属于剧场效应的是:
A.小明参加了一个高价辅导班,小芳的家长知道后,给她报了一个更贵的,他们觉得如果不上,小芳的成绩就可能比不上小明了
B.电商平台在小长假推出了五花八门的促销方式,其中的个别商家玩起了先提价、后打折的把戏,严重影响了平台的整体信誉
C.近年来汽车销售大战愈演愈烈,几大厂商最初是在电视台、报纸打广告,后来演变成高价请明星代言,成本投入越来越高,利润却越来越低
D.考虑到仙霞路上有大型活动,小王选择了平时不大走的春光路上班,没想到由于大家不约而同地走这条路,导致春光路严重堵塞,仙霞路反而畅通无阻
110、差异化竞争:指同一行业的多家企业在短期的激烈竞争中,采用灵活多变的个性化手段,树立良好企业形象,赢得市场的经营方式。
下列属于差异化竞争的是
A.春节期间,几大网络短视频平台纷纷推出抢红包活动,你发五亿,他发八亿,竞争到了白热化的程度
B.在其他房地产开发商纷纷降价促销的状况下,某楼盘提升楼盘品质,引进名校资源,销量遥遥领先于同期其他楼盘
C.每到逢年过节的时候,市区的几家大型电器商场都会推出赠送小家电、延长保修期等优惠活动,市民们往往等到这时集中采购
D.在实体书店普遍不景气的大环境下,位于繁华街区的某书店一直保持自身的市场定位,致力于销售高品位的专业图书,为了当地的文化地标
111、大数据“杀熟”:指商家在提供相同的商品或服务时,根据大数据的甄别结果,对有多次消费记录或消费能力较高的客户,以偏高标准收费的销售策略。
下列属于大数据“杀熟”的是
A.小李负责单位的接待工作,经常要预约商务车接送。后来只要他打车,网约平台就直接推送高价的商务车,无奈之下小李只好注册一个新号供自己日常出行
B.经常在网上预订酒店的老张在预订某酒店的单人间时,价格一直为380元。他的侄子暑假来看望他,也在网上预定了该酒店同样的房间,价格却便宜四分之一
C.位于市中心金融服务区的某超市由于环境优越,客户购买力强,某品牌饮料在这里售价高达15元,而这种饮料在居民小区便利店只需要10元
D.某购物网站推出新用户推广活动,每位新注册用户都可免费获赠抵用券,算下来买同样的商品新会员比老会员还要便宜好多,这让老会员们郁闷不已
112、语码转换:指说话人在同一对话过程中使用多种语言或方言进行交流的现象。
下列不属于语码转换的是
A.约翰先生在中国生活多年,与单位同事交谈时总是坚持用汉语,有时实在不知道怎样准确表达自己的意思,也会夹杂三两个英语单词
B.马经理接待来访客户,用普通话向他们介绍了自己公司的情况。得知客户中有两位陕西老乡后,当即操起陕西话与他们攀谈了几句
C.在一次国际学术会议上,陈教授用英语作报告时带了一股浓浓的四川口音,参加会议的大多数外国学者几乎都没有听懂他的发言
D.来到留学生宿舍后,班主任方老师询问了他们的日常生活情况,当他发现一个学生流露出不解的神情时,立刻又用英语解释了一番
113、危机公关:指政府部门、社会团体或企业面对可能造成严重后果的突发事件时,有组织、有计划地采取各种应对措施,避免损害或者降低损害程度,以期获得公众谅解的管理活动。
下列不属于危机公关的是
A.某公司生产的多批次药品标注虚假生产日期的消息曝光后,公司领导立即在报纸、电视台向全国公众道款,宜布召回这些批次的产品,承诺通过合适渠道赔偿受害者,迅速查清并如实公布事件真相,请社会各界人士监督
B.某地曝出高考答题卡被掉包的传闻后,当地政府部门迅速成立联合调查组,网上公布高考命题、监考、阅卷等环节的操作规范,并及时发布调查进展情况,公众情绪逐渐平复,最终查明这一传闻完全是谣言
C.“某品牌火腿肠使用过期猪肉”的消息在网络上蔓延,公司迅速查实后道歉、召回、赔偿,并制定了详细整改措施,承诺绝不会再出现此类事件,媒体和消费者慢慢平静下来
D.某商场管理层吸取毗邻商场因电路老化引起火灾、损失惨重的教训,定期组织专业人员加强对线路安全的检查,及时更换老旧电线,井且张贴《规范用电须知》提醒商家,商家都非常配合,防火意识显著增强
114、互联网公益:指民间团体或企业通过网络平台,发动社会公众参与的具有门槛低、透明度高、互动性强等特点的公益活动。
下列属于互联网公益的是
A.某公司每年拨出专款开展公益活动,在官网上征集白内障患者并向符合特定条件的患者提供全部医疗费用
B.得知老张遭遇车祸,他的老同学通过班级群、朋友圈很快募集了三万多元捐款全部转交到他家
C.某爱心服务站每年开学前在自己的主页上公布来自各界的网络捐款账目,并邀请部分捐款人一起把善款送到山区小学
D.某村委会通过网络平台发起“一帮一”捐资助学活动,帮助本村特困家庭的大学生解决了学费问题
115、N后置编码:指按照下列规则对一个符号串进行处理得到一个新符号串,N表示一个数字。
(1)确认初始符号串中每个符号的顺序位置;
(2)将初始符号串的第一个符号跳过其后面的一个符号放置,得到一个新符号串;
(3)在新符号串中,将初始符号串的第二个符号跳过其后面的两个符号放置,······,依此类推,直到将初始符号串的第N个符号跳过其后面N个符号放置(数到最后一个符号再接着从头数起)。

五、资料分析
下列给出的文字、表格、图形资料均有五个问题要你回答,请根据资料提供的信息进行分析、计算、处理,然后从四个选项中选出一项正确的答案。
2018年国家统计局组织开展了第二次全国时间利用的随机抽样调查,共调查48580人。结果显示,受访居民在一天的活动中,有酬劳动平均用时4小时24分钟。其中,男性5小时15分钟,女生3小时35分钟;城镇居民3小时59分钟,农村居民5小时1分钟;工作日4小时50分钟,休息日3小时19分钟。受访居民有酬劳动的参与率为59.0%,其中城镇居民53.1%。受访居民无酬劳动平均用时2小时42分钟。其中,女性3小时48分钟;农村居民2小时39分钟;工作日2小时34分钟。受访居民无酬劳动的参与率为70.2%,其中男性55.3%。
无酬劳动包括家务劳动、陪伴照料孩子生活、护送辅导孩子学习、陪伴照料成年家人、购买商品或服务、看病就医和公益活动。受访居民家务劳动平均用时1小时26分钟,参与率为58.5%。其中,女性2小时6分钟,参与率75.6%。受访居民陪伴照料孩子生活平均用时36分钟,参与率为18.9%;护送辅导孩子学习平均用时9分钟,参与率为10.2%;陪伴照料成年家人平均用时8分钟,参与率为5.0%;看病就医平均用时4分钟,参与率为2.2%;公益活动平均用时3分钟,参与率为4.1%。
116、受访农村居民每日无酬劳动平均用时占其劳动平均用时的比重为
A.29.8%
B.34.6%
C.38.0%
D.45.3%
117、下列活动的排列中,受访居民每日平均用时依次减少的是
A.护送辅导孩子学习、购买商品或服务、看病就医
B.护送辅导孩子学习、看病就医、购买商品或服务
C.购买商品或服务、护送辅导孩子学习、看病就医
D.购买商品或服务、看病就医、护送辅导孩子学习
118、参与有酬劳动的受访城镇居民,每日有酬劳动的平均用时为
A.5小时50分钟
B.6小时40分钟
C.7小时30分钟
D.8小时20分钟
119、受访的男性居民约有
A.2.38万人
B.2.43万人
C.2.65万人
D.2.91万人
120、从上述资料中能够推出的是
A.受访居民休息日无酬劳动平均用时多于3小时
B.受访女性居民无酬劳动的参与率介于55.3%和70.2%之间
C.受访居民中,有酬劳动和无酬劳动都参与的占比至少为59.0%
D.受访居民不同类型无酬劳动的平均用时和参与率呈正相关
2018年江苏第一、二、三产业增加值分别为4142亿元、41248亿元和47205亿元;城镇常住居民人均可支配收入47200元,增长8.2%,农村常住居民人均可支配收入20845元,增长8.8%;一般公共预算收入8630亿元,一般公共预算支出11658亿元。


121、2018年江苏第三产业增加值比第二产业多
A.12.6%
B.14.4%
C.15.1%
D.16.2%
122、上表所有指标中,2017年苏南与苏北地区指标数值相差不到一倍的有
A.5项
B.6项
C.7项
D.8项
123、2018年江苏一般公共预算收入比上年增加
A.963亿元
B.988亿元
C.1963亿元
D.1971亿元
124、2017年苏南、苏中、苏北地区就业人员人均产业增加值最大的是
A.苏中第三产业
B.苏南第二产业
C.苏南第三产业
D.苏北第二产业
125、从上述资料中能够推出的是
A.2017年苏中地区高速公路的里程不足全省的五分之一
B.2017年苏北和苏中地区进口额之和不及苏南的八分之一
C.2018年江苏城镇和农村常住居民人均可支配收入的绝对差距比上年有所缩小
D.2017年苏中农村常住居民人均生活消费支出与人均可支配收入的比值大于苏南
2018年全国互联网业务收入9562亿元,比上年增长21.0%。其中,广东、上海、北京互联网业务收入分别增长26.5%、20.0%和25.2%。2018年互联网企业信息服务收入8594亿元,比上年增长20.7%。其中,电子商务平台收入3667亿元,增长13.1%;网络游戏业务收入1948亿元,增长17.8%。2018年互联网行业研发投入490亿元,比上年增长19.0%。

126、2017年全国互联网企业电子商务平台收入为
A.2938亿元
B.3012亿元
C.3113亿元
D.3242亿元
127、2018年全国互联网企业信息服务收入占互联网业务收入的比重为
A.79.9%
B.81.5%
C.89.9%
D.91.7%
128、2013—2018年全国互联网业务收入增加最少的年份是
A.2013年
B.2014年
C.2015年
D.2016年
129、若从2019年起每年均按2014—2018年的平均增速增长,则2023年全国互联网业务收入将达到
A.21620亿元
B.27565亿元
C.30147亿元
D.31829亿元
130、从上述资料中能够推出的是
A.2014—2018年全国互联网业务收入年平均增量为1067亿元
B.2018年广东、上海、北京的互联网业务收入总和比上年增长23.9%
C.2018年全国互联网行业研发投入与互联网业务收入的比值小于上年
D.2018年全国互联网企业各类信息服务收入年增长最慢的是电子商务平台收入
2018年我国硫酸、烧碱、纯碱、和乙烯产量分别为5496万吨、3159万吨、2651万吨和129万吨。2016年一季度至2018年四季度我国硫酸、烧碱、纯碱、和乙烯产量见下图。

131、2018年我国硫酸、烧碱、纯碱和乙烯产量比上年增加最多的是
A.硫酸
B.烧碱
C.纯碱
D.乙烯
132、2016年一季度至2018年四季度,我国硫酸、烧碱产量最接近的是
A.2017年一季度
B.2017年四季度
C.2018年一季度
D.2018年三季度
133、2016年二季度至2018年四季度,我国烧碱产量的季平均增量是
A.12.8万吨
B.14.1万吨
C.16.7万吨
D.18.2万吨

135、下列判断正确的是
A.2018年我国乙烯产量增速比上年有所下降
B.2016年二季度至2018年四季度,我国硫酸和乙烯产量变动方向始终相反
C.2016年二季度至2018年四季度,我国烧碱和纯碱产量环比正增长的季度个数相同
D.2016年二季度至2018年四季度,我国纯碱产量环比增速在2017年四季度最小